Одно из требований к быстродействующему АВР — включение секционного выключателя (СВ) в момент, когда векторы напряжения на «здоровой» секции шин и ЭДС обобщенного двигателя, выбегающего на секцию шин, потерявшую питание, имеют небольшое расхождение по фазе (например, в [1] указан диапазон до 30°). Требование обосновано, так как позволяет минимизировать значение переходного тока при включении, но ненулевое время включения секционного выключателя (Твкл), методические погрешности в определении угла и частоты в цифровых блоках и игнорирование скорости изменения частоты могут привести к нарушению этого требования. Рассмотрим режим потери питания на секции шин № 1 (СШ1), к которой подключен синхронный двигатель (СД). Примем, что напряжение на «здоровой» секции шин № 2 (СШ2) неизменно по модулю и частоте (см. рис. 1).
Рис. 1
Уравнение движения вектора напряжения СШ2 есть: Закон движения вектора напряжения СШ1 зависит от закона выбега двигателя (см. ниже). При потере питания напряжение на СШ1 индуцируется только полем возбуждения двигателя. В этом случае частота и фаза напряжения однозначно связаны с частотой и фазой вращения ротора. В общем виде закон выбега двигателя есть 2-й закон Ньютона для вращающихся тел: При двукратном интегрировании уравнения (1) в процессе нахождения зависимости φ(t), возникают две константы, определяемые начальными условиями: То есть для прогнозирования значения угла на время включения выключателя (а именно это необходимо для выдачи команды на включение СВ) нужно в момент расчета (i-й момент времени) знать значение угла между напряжениями — φ i-тое, значение угловой скорости — ω i-тое и вид функции — M (зависимость/независимость суммарного момента от других переменных). Проанализируем эти параметры и оценим погрешность по углу включения, к которой приводит неточное знание каждого из них.

Частота

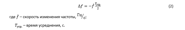
Расчет частоты в блоках РЗиА является нетривиальной задачей и может реализовываться различными способами [2, 3]. Примем здесь, что алгоритм без погрешности рассчитывает мгновенную частоту, но имеет некоторое окно усреднения для повышения надежности результата (например, стандарт [4] регламентирует расчет частоты не более чем за 60 мс). Это приводит к тому, что при усреднении значений за время Tуср при линейно меняющейся частоте алгоритм будет давать погрешность, равную: Из формулы (2) видно, что при увеличении частоты измеряемая частота будет несколько занижена, а при снижении — завышена. Использование частоты с погрешностью (2) при оценке угла, на который повернется вектор напряжения за время включения выключателя, приведет к погрешности по углу, равной: При этом действительный вектор успеет описать бóльшую дугу, чем это следует из расчета.

Угол

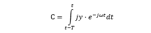
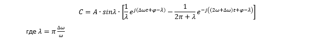
Для анализа погрешности по углу рассмотрим один из самых распространенных способов перехода от мгновенных значений к векторам — выделение основной гармоники с помощью разложения периодического сигнала в ряд Фурье: Если частота входного сигнала отличается от частоты, используемой для вычисления ортогональных составляющих (а мы выяснили, что это так, даже если в блоке идет подстройка частоты), то функция под интегралом равна: Расчет Фурье производится за один период сигнала, поэтому в формуле (4) не учитывается линейное снижение частоты. Интуитивно можно ожидать, что вектор уже не будет неподвижным, а начнет совершать вращение с разностной частотой ∆ω. Точное выражение после взятия интеграла имеет вид: Предположение оказалось верным, вектор действительно имеет низкочастотную составляющую ∆ω. Однако в дополнение к этому (в соответствии с АЧХ ДПФ) изменилась амплитуда вектора — в (sin λ/λ) раз — и добавилась высокочастотная составляющая 2ω+∆ω. Конец вектора при этом описывает гипоциклоиду. Для темы статьи важно, что вектор в среднем всегда отстает от «реального» вектора на угол λ: То есть при выполнении прогноза действительный вектор уже находится чуть дальше, чем это предполагает блок.

Закон выбега

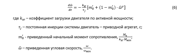
Выбег двигателя описывается уравнением [5, 6, 7]: Темп выбега определяется начальным ускорением: Также видно, что в начальный момент времени независимо от типа агрегата (γ) выбег происходит одинаково и определяется только коэффициентом загрузки kзг и постоянной инерции τ j-тое. Решать численно уравнение (6) в блоке РЗА нет необходимости, потому что при реальных начальных ускорениях от 40 до 400 рад в секунду за секунду [5] отклонение закона изменения угловой скорости (частоты) от линейного за время расчетов и усреднений в блоках РЗА малó. Однако для функций ожидания и улавливания синхронизма при выполнении прогноза значения угла может быть использовано также предположение о том, что за время включения выключателя частота не меняется. В этом случае погрешность по углу равна: Все погрешности имеют одинаковый знак и могут привести к тому, что действительная фаза вектора в момент включения СВ будет отличаться от фазы напряжения «здоровой» СШ более, чем допускается по расчетам. На рис. 2 приведены погрешности по углу в зависимости от значения начального ускорения при использовании быстродействующего выключателя ISM15_Shell_FT2 c электронным модулем управления СМ_1501_01(4) со временем включения 22 мс [8]. На рис. 3 то же — при использовании небыстродействующего выключателя с временем включения 50 мс (время включения современных выключателей может доходить до 100 мс). Рис. 2 и 3 (можно листать) Постоянная инерции для газоперекачивающих агрегатов с электродвигателями СТД-4000-2 и нагнетателем 280-12-7 равна 3,25 с [9], что позволяет вычислить начальное ускорение при выбеге: 96,6 рад в секунду за секунду. По графикам видно, что только методическая погрешность будет составлять 7° и 18° соответственно. А с учетом цикличности расчетов в блоках погрешность по углу будет еще увеличена, так как «правильный» момент выдачи команды может попасть на середину программного цикла. При бóльших значениях начального ускорения и использовании выключателей, включающихся за 70–100 мс, методическая погрешность будет составлять десятки градусов!

Выводы

  • Расчет разностной частоты между секциями шин должен быть выполнен с учетом производной частоты.
  • Нужно учитывать как минимум линейное изменение частоты за время включения выключателя, так как погрешность от неучета этого факта имеет квадратичную зависимость от времени включения.
  • Погрешность, возникающую от расчета ортогональных составляющих на частоте, отличающейся от частоты сигнала, можно не учитывать, если устройство осуществляет подстройку частоты в необходимом диапазоне и не имеет слишком большого окна усреднения.
  • Предпочтительнее использовать быстродействующие выключатели, так как точность прогноза на длительный промежуток времени снижается.

Литература

  1. ПАО «Транснефть». Общие технические требования. Устройства быстродействующего автоматического ввода резерва на основе быстродействующих вакуумных выключателей напряжением более 1000 В.
  2. Иванов Н. Г., Солдатов А. В., Наумов В. А., Антонов В. И. Оценка частоты сети в цифровых системах РЗА по переходу через нуль: характеристики точности. «Релейная защита и автоматизация». Декабрь 2013. № 4.
  3. Антонов В. И., Наумов В. А., Шевцов В. М. Оценка частоты электрической сети: теоретические основы и практические алгоритмы. Сборник научных статей «Цифровая электротехника: проблемы и достижения». Выпуск 1. — Чебоксары, 2012.
  4. Акционерное общество «Системный оператор Единой энергетической системы». Стандарт организации. Релейная защита и автоматика. Автоматическое противоаварийное управление режимами энергосистем. Микропроцессорные устройства автоматической частотной разгрузки. Нормы и требования. — М., 2016
  5. Крышнев Ю. В. Исследование динамики выбега синхронных двигателей с учетом характеристик приводных механизмов.
  6. Сыромятников И. А. Режимы работы асинхронных и синхронных двигателей — М.: Энергоатомиздат, 1984.
  7. Курганов В. В., Крышнев Ю. В., Верига Б. А. Учет механической характеристики обобщенного привода в алгоритме быстродействующего самозапуска высоковольтных синхронных электродвигателей.
  8. «Таврида электрик». Комплекс быстродействующего АВР БАВР10_ШеллFT. Техническая информация.
  9. Беляев А. В. Автоматика и защита на подстанциях с синхронными и частотно регулируемыми электродвигателями большой мощности: учебное пособие в 2-х ч. — СПб: ПЭИПК, 2012. — Ч.1. — 72 с.