- синусоидальному сигналу A sin(ωt+Ψ) может быть сопоставлен вращающийся с круговой частотой ω вектор длиной А;
- вектора можно изображать на координатной плоскости. Начало вектора при этом необходимо совместить с началом координат. Угол в нулевой момент времени равен Ψ. Углы отсчитываются от оси абсцисс (OX) против часовой стрелки;
- вектору может быть сопоставлено комплексное число (проекции вектора на оси есть мнимая и действительная часть комплексного числа, длина и угол вектора есть модуль и аргумент комплексного числа) – так называемый символьный метод, известный из курса ТОЭ;
- вектора тока и напряжения вращаются с одной круговой частотой;
- угол между током и напряжением определяется как φ= ΨU- ΨI. При таком определении угол равен углу комплексного сопротивления, на котором наблюдается данная разность фаз между током и напряжением;
- частота считается неизменной и равной 50 Гц.
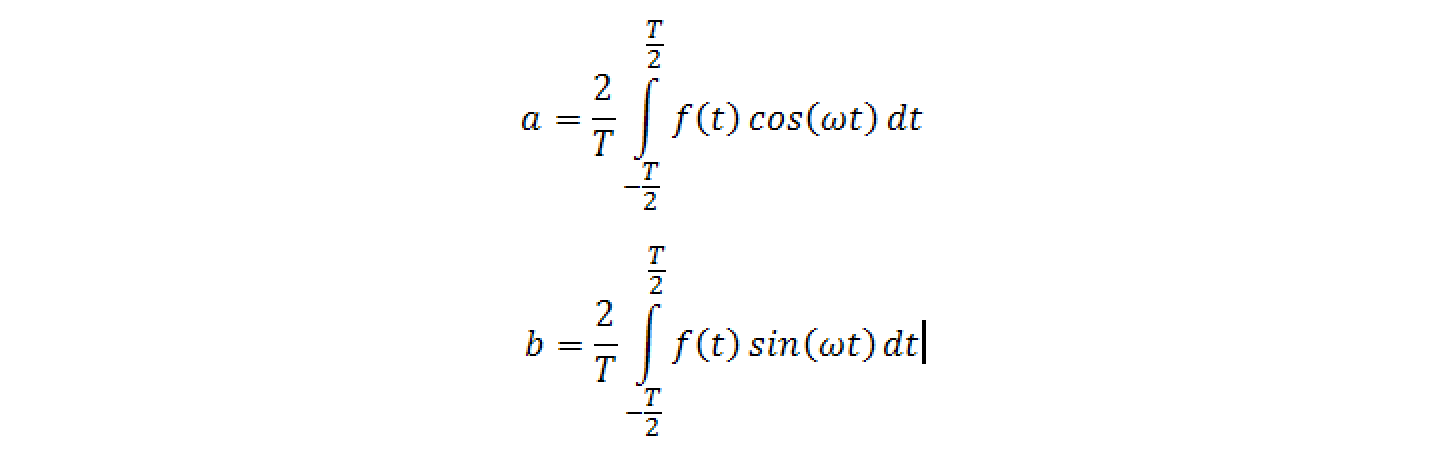
y=acos(ωt)+bsin(ωt)
Обозначения по сравнению с предыдущей статьей изменены. Коэффициенты a и b определяют амплитуду первой гармоники, а также задают вектор (комплексное число). Формулы для расчета коэффициентов:
Разберем подробнее, как это будет выглядеть при представлении сигналов дискретными отсчетами и в условиях «движения» окна по первичному сигналу.
Представим, что наше устройство делает вычисления векторов с приходом каждого нового значения сигнала. Количество точек на период равно N=12, то есть частота дискретизации 600 Гц (см. рис. 1)

Небольшие различия в написании данной формулы могут быть обусловлены различной нумерацией элементов массива, в котором хранятся значения синуса.
При использовании метода трапеций понадобилось бы и значение 13 точки.
Аналогично нужно действовать и при нахождении коэффициента .
Таким образом на каждой точке (каждом программном цикле расчета) входной сигнал умножается на период синуса (косинуса), полученные значения суммируются (интегрируются) и вводится масштабный коэффициент.
В следующий момент времени окно смещается и новые значения входного сигнала умножаются на период синуса и косинуса. При этом коэффициент естественно меняется.
Коэффициенты меняются согласованно, что приводит к вектору, вращающемуся с частотой 50 Гц.
Гораздо более интересно не положение вектора относительно системы координат, а взаимное расположение векторов. Поэтому вращение их как целого не очень информативно. Можно переписать формулы для расчета коэффициентов таким образом, чтобы вращение остановилось. При этом взаимное положение векторов останется без изменения.
Амплитуда вектора равна:
Для четкого понимания, какой должна быть фаза, предлагаю ответить на вопрос: чем является входной сигнал, который мы видим в окне наблюдения, синусоидой или косинусоидой?
На самом деле это не сильно важно, но необходимо выбрать, чем считать сигнал на входе, и в соответствии с этим решением формировать вектора для всех аналоговых каналов.
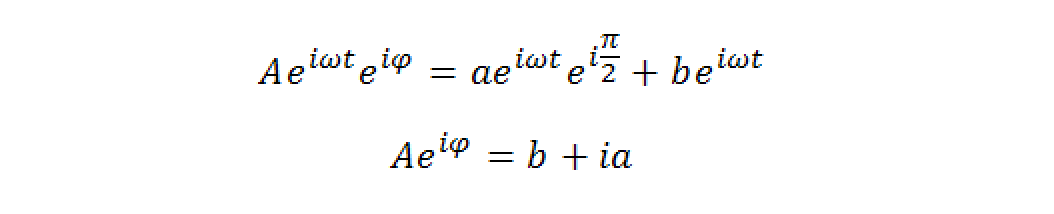
Если сигнал – синусоида, примем: a=Asin(φ), b=Acos(φ).
Получим acos(ωt)+bsin(ωt)=Asin(φ)cos(ωt)+Acos(φ)sin(ωt)=Asin(ωt+φ)
При переходе к изображению тригонометрических функций мнимыми экспонентами:
Если сигнал – косинусоида, примем: a=Acos(φ), b=-Asin(φ).
Получим acos(ωt)+bsin(ωt)=Acos(φ)cos(ωt)-Asin(φ)sin(ωt)=Acos(ωt+φ)
При переходе к изображению тригонометрических функций мнимыми экспонентами:
Проверим эти формулы:
Пусть напряжение на входе блока равно u=Usin(ωt). Через один период в окне наблюдения будет синусоида с нулевой начальной фазой. При этом b=U, a=0.
По первой формуле получим комплексное число с нулевой мнимой частью, его аргумент равен нулю:
Если сигнал представляется косинусоидой (вторая формула), получим
Модуль числа тот же, фаза равна минус π/2.
Все в соответствии с формулами приведения: sin(φ)= cos(φ-π/2)
Аналогичный результат можно получить, применив к периоду сигнала длиной N формулу ДПФ. Переход от одной формулы к другой равносилен задержке исходной последовательности на k отсчетов, что приводит к умножению дискретного спектра на exp(-i*2*pi*k/N).
В дальнейшем независимо от того, как сформировано комплексное число, будем использовать обозначение
где вместо А может быть напряжение, ток, сопротивление, мощность.
Расчет углов между векторами может проводиться различными способами в зависимости от конечных целей.
Если необходимо выводить значение угла на индикацию, то без обратных тригонометрических функций не обойтись. При этом необходимо учитывать, что множество значений этих функций не перекрывает всего спектра углов от -180 до 180 градусов.
Например, при расчете угла как arctg(Ay/Ax) необходимо контролировать знак каждой из составляющих и в зависимости от этого «доворачивать» угол.
Если индикация не важна, а интересует только взаимное расположение векторов, то можно пойти другим, более удобным путем.
Рассмотрим работу реле направления мощности. Векторная диаграмма изображена на рисунке 2. Угол максимальной чувствительности φмч равен минус 30 градусов. Минус потому, что когда вектор тока расположится вдоль отрезка АО, он будет опережать напряжение.

Если на векторной диаграмме РНМ повернуть вектор напряжения на 30 градусов (минус φмч), то получится, что направление мощности должно менять знак при углах между довернутым вектором напряжения и вектором тока больших 90 градусов и меньших минус 90.
Представим, что у нас есть два комплексных числа А и В. Умножим А на сопряженное с В.
Видно, что действительная часть как раз равна векторному произведению.
Довернем напряжение на угол минус φМЧ:
Умножим довернутое напряжение на сопряженный ток и возьмем только действительную часть:
Итак, реле направление мощности свелось с следующему:
P>0 направление прямое;
P<0 направление обратное.
Добавить сюда гистерезис, чтобы не было дребезга при смене знака, - дело техники.