Для более широкого круга пользователей, а не только разработчиков РЗиА, будет полезно с помощью простейших моделей, имитирующих работу устройства, проверить правильность его работы по данным зарегистрированных осциллограмм, если информации для разбора аварии в ней не хватает. Моделирование первичной схемы и аварий позволяет получать тестовые осциллограммы аварий, достаточно приближенные к реальным случаям, так как в моделях не сложно получать как простейшие апериодические составляющие в токах короткого замыкания, так и учитывать нелинейность характеристик намагничивания стали трансформаторов или имитировать удар молнии в ЛЭП с последующей работой ОПН.
Для каждой из подобных задач удобны свои программные пакеты как математического характера MathCad, MATLAB так и программные комплексы для моделирования первичных схем Simulink, PSCAD или такие масштабные программно-аппаратные комплексы как RTDS.
Рассмотрим применение программы MATLAB для анализа осциллограммы короткого замыкания, что позволит понять основные задачи, которые решает блок при срабатывании защиты. Для начала выясним, что из себя представляет осциллограмма, чтобы понять как с ней работать.

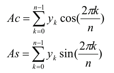
В большинстве случаев алгоритмы защит работают по величине первой гармоники сигнала, что ставит задачу выделения полезного сигнала:
Проблема определения частоты может решаться многими способами, но в любом случае, значение частоты является определяющим для работы цифровых терминалов РЗиА, так как точность ее определения и скорость отслеживания ее изменений напрямую влияет на корректность всех последующих расчетов. Потому что только после того, как известно значение частоты, мгновенные дискретные отсчеты могут быть представлены векторами на комплексной плоскости.
Получив вектора, мы получаем доступ к нахождению всех возможных параметров интересующего нас процесса. В дальнейших расчетах мы исходим из того, что частота считается независимо от ДПФ, и производится подстройка частоты дискретизации под реальную величину периода сигнала, с тем чтобы на периоде всегда было одинаковое количество дискретных отсчетов.
Это приводит к довольно простым формулам цифровой обработки, что позволяет увидеть основные моменты, не вдаваясь в арифметические сложности.
Считать данные из осциллограммы и записать их в массив данных позволяет стандартная функция языка MATLAB - dlmread:
Data=dlmread(‘Имя файла.dat’)
После такого считывания можно работать с массивом Data как с обычной матрицей.
Например, визуализировать токи и напряженяи построив график с помощью функции plot(). Получится что то похожее на рис. 5

Далее следует основное тело программы. И здесь детализация эмуляции работы блока зависит в первую очередь от трудоемкости и конечных целей.
Например, компьютерная программа может выполнять расчеты ДПФ, сопротивление, мощностей, углов от точки к точке. Контроллер, находящийся в блоке ЦРЗиА не может выполнить столько операций за время порядка 0,5 мс. Решением этой проблемы является разделение операций по приоритету. Периодичность выполения различных операций получается разной. Например, в современных блоках БМРЗ расчеты ДПФ и других режимных параметров производятся каждые 5 мс. Такая дискретизация не приводит к сколько-нибудь заметному замедлению срабатывания защит, так как наличие «окна наблюдения» само по себе приводит к задержке до 20 мс.
Имитацию работы устройства можно реализовать с помощью простого цикла for…end, имитирующего течение времени. В цикле необходимо реализовать расчеты каждые m-точек (m точек поступает на вход алгоритма каждый новый программный цикл). Так как в окне наблюдения всегда находится период сигнала, то ДПФ сводится к умножению нашего сигнала на период синуса и косинуса и последующего суммирования:
Расчетные величины действующего значения вектора равны:
Реализация вышеуказанных идей приводит к рис. 6.

Из рис. 6 видно, что при моделировании сымитированы «программные циклы» (величина действующего значения имеет ступенчатый вид).
Так же видно, что апериодическая составляющая практически не влияет на действующее значение токов, что связано с хорошими фильтрующими свойствами ДПФ.
Также видно наличие задержки «окна наблюдения»: когда мгновенное значение тока через 5 мс после начала аварии достигает своего максимума, вычисленное действующее значение тока (именно та величина, которая сравнивается с уставкой на пороговом элементе) только-только начала свое увеличение.
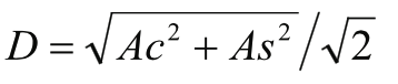
Еще больше информации можно получить, анализируя поведение векторов Ac+j*As.
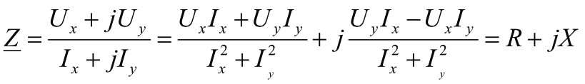
Мы можем получить такие параметры как сопротивление:
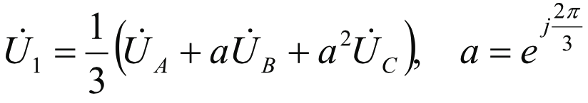
Напряжение прямой последовательности:
и другие.
На рис. 1 сразу наглядно видно угол рабочего режима, на рис. 7 показано изменение сопротивления контура AB (Zab) при возникновении аварии.

Естественно, чтобы анализировать аварийную осциллограмму, не нужно быть программистом, знакомым с цифровой обработкой сигналов: большинство производителей встраивает все вышеуказанные идеи и формулы непосредственно в программы просмотра осциллограмм, например, Fastview. Но качественный разбор аварии невозможен без наличия знаний основ работы дискретных устройств РЗиА.



